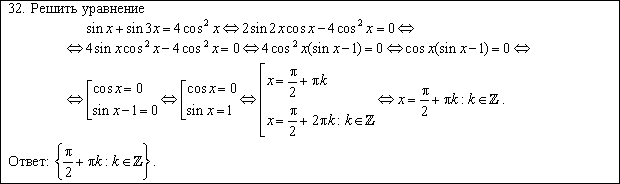
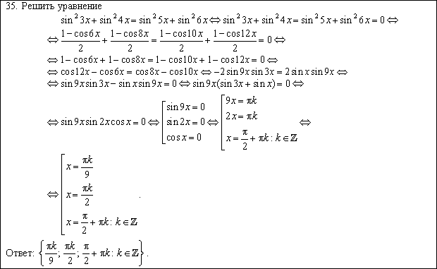
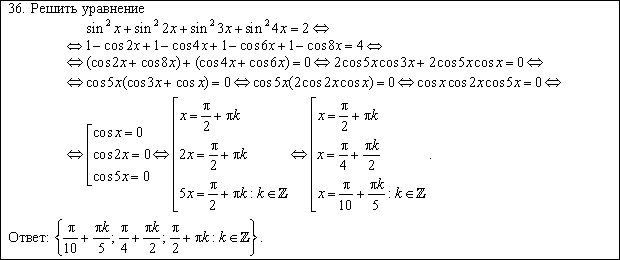
САЙТ ЭЛЕМЕНТАРНОЙ МАТЕМАТИКИ ДМИТРИЯ ГУЩИНА
просмотреть pdf-файл к другим номерам